Fractions and Binomials
Using fractions and binomial coefficients in an expression is straightforward.
The binomial coefficient is defined by the next expression:
\[
\binom{n}{k} = \frac{n!}{k!(n-k)!}
\]
For these commands to work you must import the package amsmath by adding the next line to the preamble of your file
\usepackage{amsmath}
Displaying fractions
The appearance of the fraction may change depending on the context
Fractions can be used alongside the text, for
example \( \frac{1}{2} \), and in a mathematical
display style like the one below:
\[\frac{1}{2}\]

As you may have guessed, the command \frac{1}{2}
is the one that displays the fraction. The text inside the first pair of braces is the numerator and the text inside the second pair is the denominator.
Also, the text size of the fraction changes according to the text around it. You can set this manually if you want.
When displaying fractions in-line, for example \(\frac{3x}{2}\)
you can set a different display style:
\( \displaystyle \frac{3x}{2} \).
This is also true the other way around
\[ f(x)=\frac{P(x)}{Q(x)} \ \ \textrm{and}
\ \ f(x)=\textstyle\frac{P(x)}{Q(x)} \]

The command \displaystyle
will format the fraction as if it were in mathematical display mode. On the other side, \textstyle
will change the style of the fraction as if it were part of the text.
Continued fractions
The usage of fractions is quite flexible, they can be nested to obtain more complex expressions.
The fractions can be nested
\[ \frac{1+\frac{a}{b}}{1+\frac{1}{1+\frac{1}{a}}} \]
Now a wild example
\[
a_0+\cfrac{1}{a_1+\cfrac{1}{a_2+\cfrac{1}{a_3+\cdots}}}
\]

The second fraction displayed in the previous example uses the command \cfrac{}{}
provided by the package amsmath (see the introduction), this command displays nested fractions without changing the size of the font. Specially useful for continued fractions.
Binomial coefficients
Binomial coefficients are common elements in mathematical expressions, the command to display them in LATEX is very similar to the one used for fractions.
The binomial coefficient is defined by the next expression:
\[
\binom{n}{k} = \frac{n!}{k!(n-k)!}
\]
And of course this command can be included in the normal
text flow \(\binom{n}{k}\).

As you see, the command \binom{}{}
will print the binomial coefficient using the parameters passed inside the braces.
Reference guide
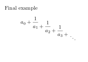
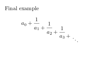
A slightly different and more complex example of continued fractions
Final example
\newcommand*{\contfrac}[2]{%
{
\rlap{$\dfrac{1}{\phantom{#1}}$}%
\genfrac{}{}{0pt}{0}{}{#1+#2}%
}
}
\[
a_0 +
\contfrac{a_1}{
\contfrac{a_2}{
\contfrac{a_3}{
\genfrac{}{}{0pt}{0}{}{\ddots}
}}}
\]

Last updated
Was this helpful?